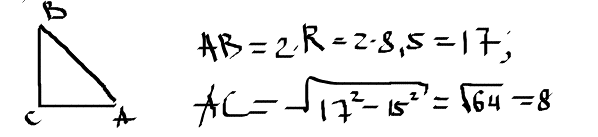
В треугольнике АВС угол С равен 90 градусов,ВС=15.Радиус описанной окружности этого треугольника равен 8,5.Найдите АС
Ответы
Ответ дал:
0
........................................................................
Приложения:

Вас заинтересует
2 года назад
8 лет назад
10 лет назад
10 лет назад
10 лет назад