• Предмет: Физика
  • Автор: cvb115
  • Вопрос задан 2 года назад

Физика__________________

Приложения:

Ответы

Ответ дал: zybkov1950
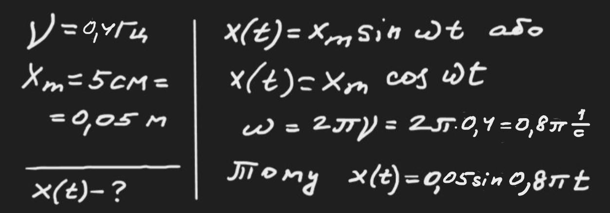
1

Відповідь:

Пояснення:

Приложения:
Вас заинтересует