• Предмет: Математика
  • Автор: salmvosmaa
  • Вопрос задан 2 года назад

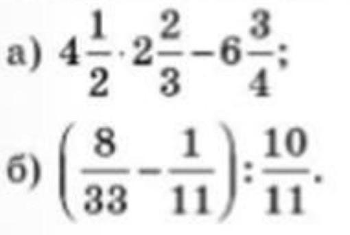
помогите пожалуйста решить ​

Приложения:

Ответы

Ответ дал: haunted601
1

Ответ: а) 12

б) 23/10

Пошаговое объяснение:

Вас заинтересует