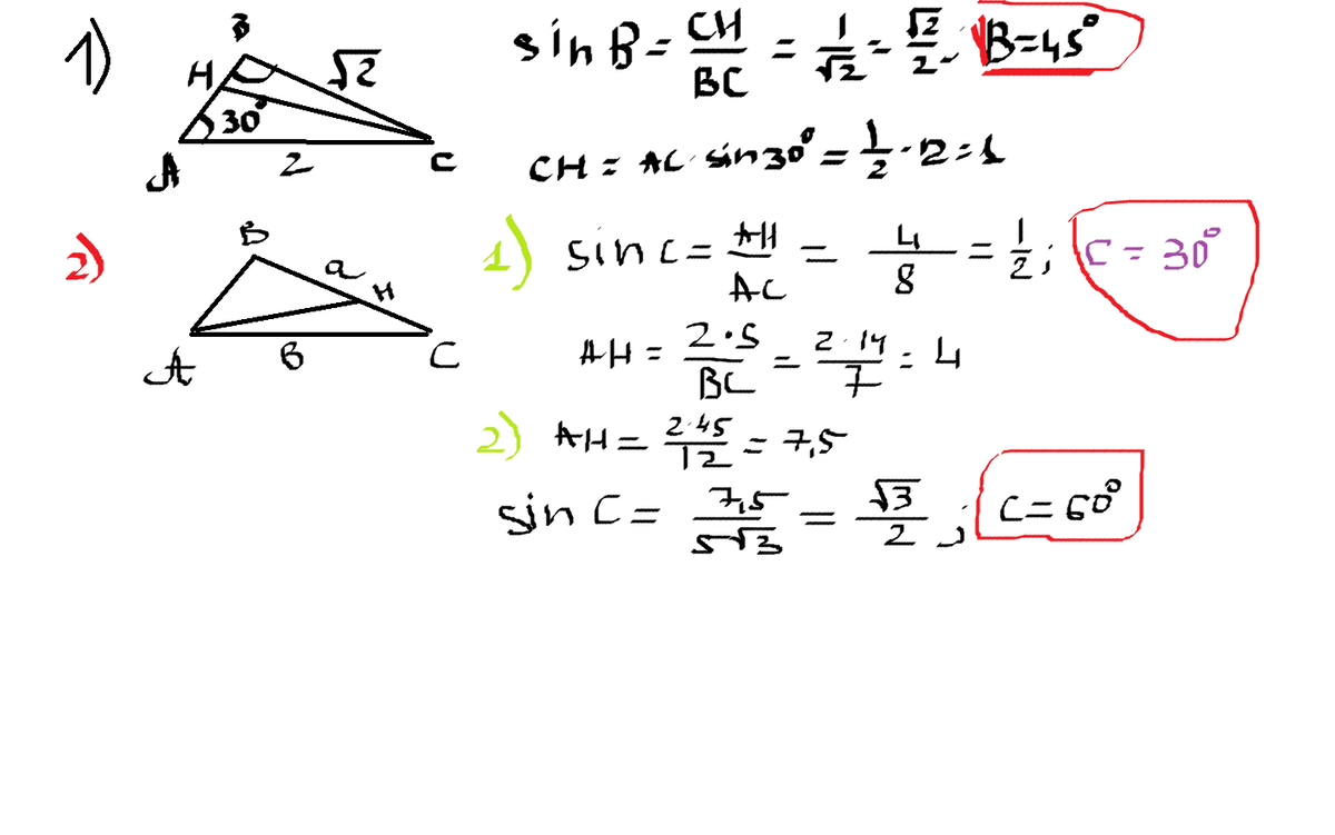
1) найдите угол B, если в треугольнике ABC угол А=30 градусов, АС=2см, ВС= под корнем 2см
2)Найдите угол С треугольника АВС, если ВС=а, АС=b, а его площадь равна S решите эту задачу если 1)а=7 b=8 S=14 2) a=12, b=5 под корнем 3, S=45
Ответы
Ответ дал:
0
Решение во вложениях)))))))
Приложения:

Ответ дал:
0
ты в первом задание 45 градусов в как нашел?
Ответ дал:
0
а все понял можешь не объеснять
Ответ дал:
0
))
Вас заинтересует
2 года назад
2 года назад
8 лет назад
10 лет назад
10 лет назад
10 лет назад