• Предмет: Математика
  • Автор: nadyam916
  • Вопрос задан 2 года назад

математика 6 класс, помогите пожалуйста, это линейные уравнения ​

Приложения:

Ответы

Ответ дал: muhametzhansanat
1

Ответ:

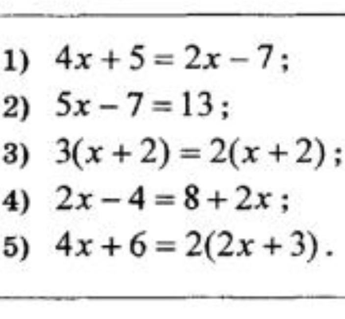
1) 4х+5=2х-7

2х=-12

х=-6

2) 5х-7=13

5х=20

х=4

3) 3(х+2)=2(х+2)

3х+6=2х+4

х=-2

4) 2х-4=8+2х

Нет решения, так как если перенести 2х на левую сторону то они взаимо уничтожаются, после чего не остаётся ни одного х

5) 4х+6=2(2х+3)

4х+6=4х+6

Бесконечно много решений начиная с нуля до +бесконечности

Пошаговое объяснение:

в 3 и 5 используется метод фонтанчика, а то есть с раскрытием скобков

Вас заинтересует