• Предмет: Алгебра
  • Автор: wl1ix
  • Вопрос задан 2 года назад

хелп, дам 50 баллов

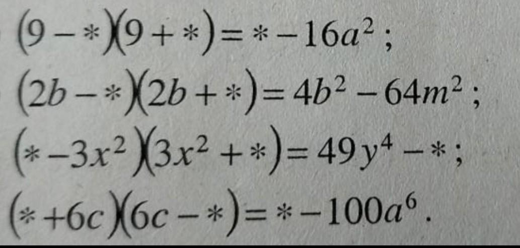
4. Замените * одночленом так, чтобы полученное равенство

было тождеством:

a) (9-*(9+ *)= * - 16a2 ;

6) (2b-*x2b+*)=4b2 - 64m²;

B) (*-3x²x3x2 +*)=49y4 - * ;

r) (*+6c)(6c-*)=*-100a°.​

Приложения:

Ответы

Ответ дал: ryudnevayliana2009
1

Ответ:

1) (9-4а)(9+4а)=9²-16а²

2) (2b-8m)(2b+8m)=4b²-64m²

3) (7y²-3x²)(3x²+7y²)=49y⁴-9x⁴

4) (10a³+6c)(6c-10a³)=36c²-100a⁶

Объяснение:

вроде правильно


wl1ix: спасибо большое
Вас заинтересует