Ответы
Ответ дал:
0
Объяснение:
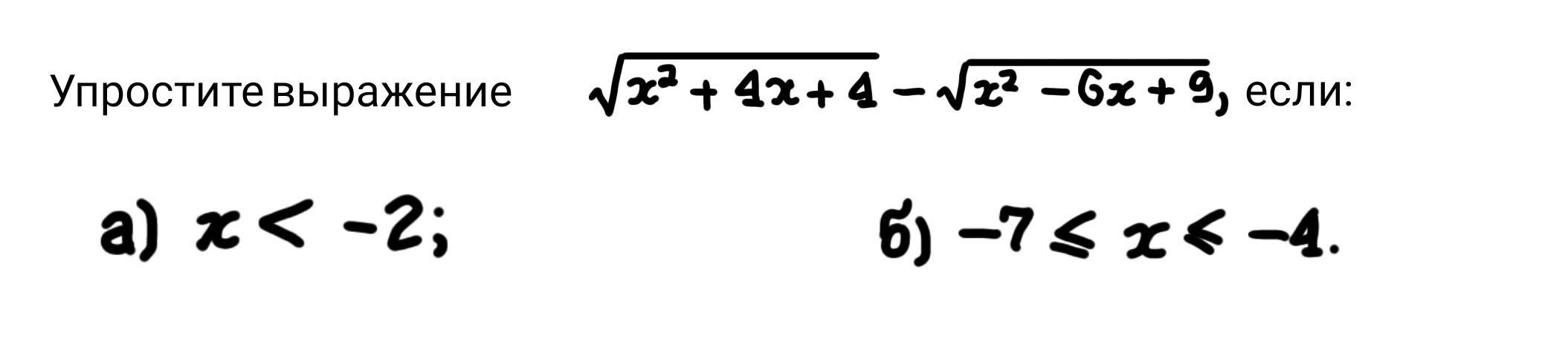
я не поняла почему а)х<-2; б)-7<х<-4 а вот так решила
Приложения:

Вас заинтересует
1 год назад
1 год назад
1 год назад
1 год назад
3 года назад
8 лет назад