помогите с алгеброй пожалуйста))
сократить дроби:
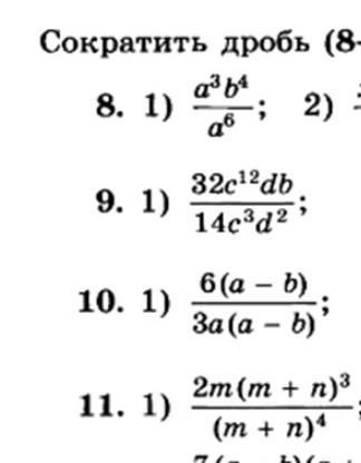
1) a^3b^4/a^6
2) 32c^12db/14c^3d^2
3) 6(a-b)/3a(a-b)
4)2m(m+n)^3/(m+n)^4
для тех кто не поймет в таком варианте, есть закреп
заранее спасибо)) с меня 20 баллов
Приложения:

Ответы
Ответ дал:
0
Ответ:
1)b⁴/a³ 2)16c⁹b/7d 3)2/a 4)2m/m+n
helpmepls8376482:
спасибо большое))
Вас заинтересует
1 год назад
1 год назад
1 год назад
3 года назад
3 года назад
8 лет назад
8 лет назад