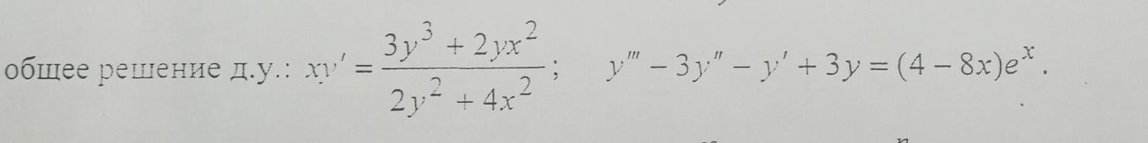
Найти общее решение дифференциальных уравнений с подробным решением !!!

Приложения:

Ответы

Ответ дал: aarbuz327
0

Ответ:

Леөучлвшядыщылялышы ыдящыфш

Вас заинтересует