• Предмет: Математика
  • Автор: asylai000123
  • Вопрос задан 2 года назад

Помогите пж решить!!!! Пожалуйста !! Дам 100 баллов

Приложения:

Ответы

Ответ дал: jazkax09
1

надо было так решить или нет??!!

Приложения:

asylai000123: Спасибо
Ответ дал: iramazurk
0

Пошаговое объяснение:

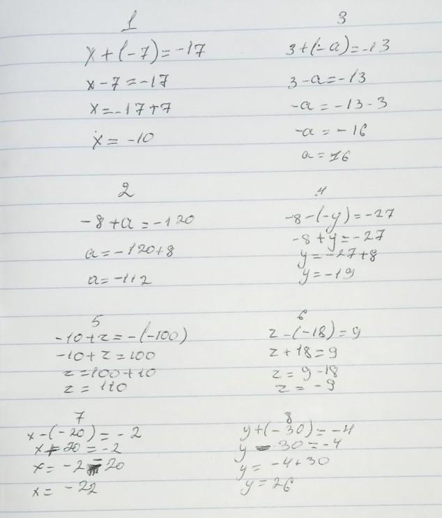
х + (-7) = -17

х - 7 = -17

х = -17 + 7

х = -10

-8 + а = -120

а = -120 - (-8)

а = -120 + 8

а = -112

3 + (-а) = -13

3 - а = -13

а = 3 - (-13)

а = 3 + 13

а = 16

-8 - (-у) = -27

-8 + у = -27

у = -27 - (-8)

у = -27 + 8

у = -19

-10 + z = -(-100)

-10 + z = 100

z = 100 - (-10)

z = 100 + 10

z = 110

z - (-18) = 9

z + 18 = 9

z = 9 - 18

z = -9

x - (-20) = -2

х + 20 = -2

х = -2 - 20

х = -22

у + (-30) = -4

у - 30 = -4

у = -4 + 30

у = 26

Вас заинтересует
9 лет назад