Допоможіть будь ласка!!!
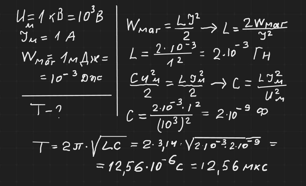
Максимальна напруга на обкладках конденсатора ідеального коливального контуру досягає 1кВ. Яким є період електромагнітних коливань в контурі, якщо за амплітудного значення сили струму 1 А енергія магнітного поля в контурі 1мДж?
Ответы
Ответ дал:
2
Відповідь: ≈ 12,56 мкс
Пояснення:
Приложения:
npankov2015:
merci
Вас заинтересует
1 год назад
1 год назад
2 года назад
2 года назад
3 года назад
3 года назад
9 лет назад
9 лет назад