• Предмет: Алгебра
  • Автор: artemtaranuk
  • Вопрос задан 2 года назад

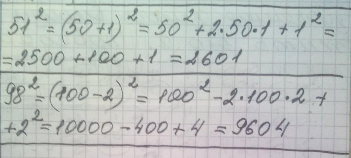
Будь ласка допоможіть за формулою квадрата і суми або різниці обчисліть: 51²,. 98²

Ответы

Ответ дал: manyny06
3

Ответ:

решение смотри на фотографии

Приложения:

Аноним: помогите пожалуйста с алгеброй буду очень благодарен
maksimivnairina43: Помогите с алгеброй последний вопрос!!!
Вас заинтересует