Ответы
Ответ дал:
1
Ответ:
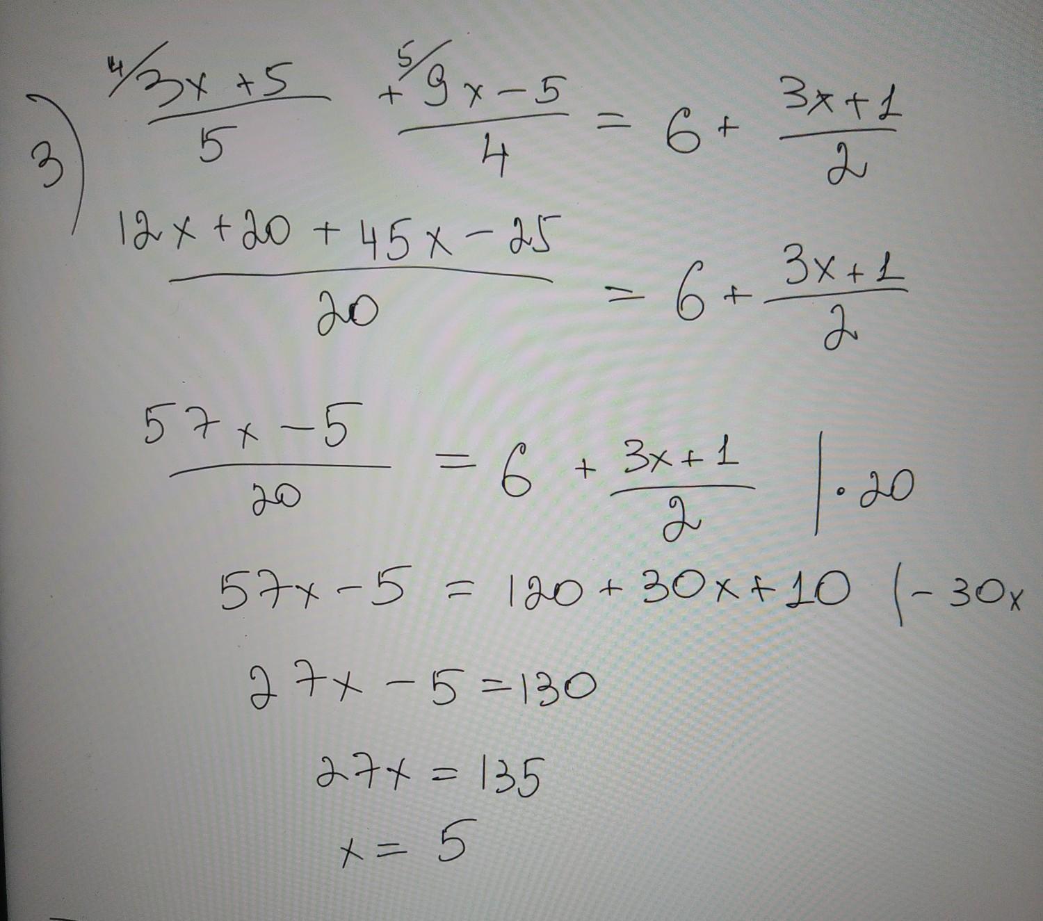
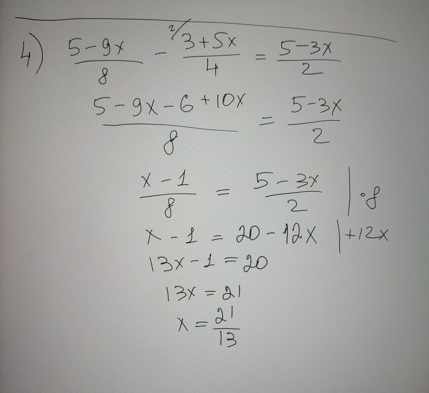
это 3, 4 сейчас отправлю
Приложения:


mirakira375:
Большое спасибо!!
Вас заинтересует
1 год назад
1 год назад
1 год назад
3 года назад
3 года назад