• Предмет: Физика
  • Автор: grutgame
  • Вопрос задан 2 года назад

СРОЧНО!!!
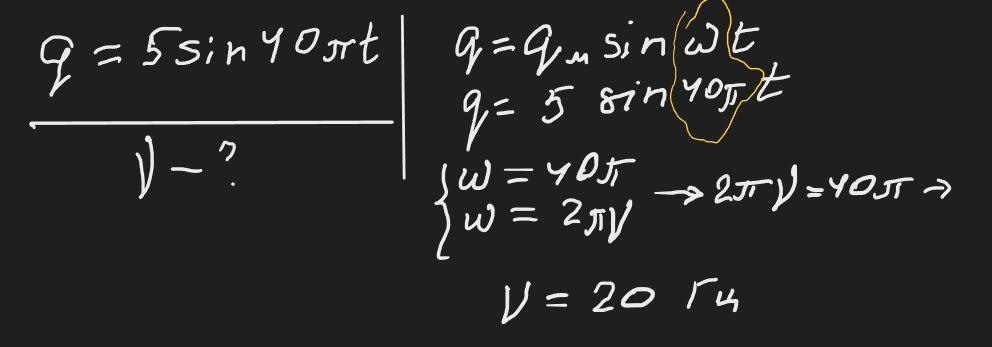
Заряд в колі змінного струму змінюється за законом q=5sin40rt. Визначте частоту коливань струму.​

Ответы

Ответ дал: zybkov1950
1

Відповідь: 20 Гц

Пояснення:

Приложения:
Ответ дал: veronikaprozecka
0

Ответ:

Правильна відповідь 20 Гц

Вас заинтересует