• Предмет: Алгебра
  • Автор: jsjwowdjdj
  • Вопрос задан 2 года назад

допоможіть будь ласка
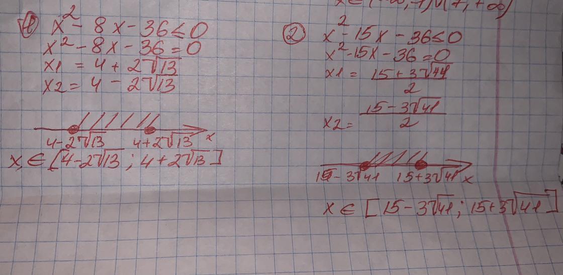
1. x² - 8x - 36 ≤ 0
2. -x² - 15x - 36 ≤ 0
3. -x² + 3x - 28 < 0 ​​

Ответы

Ответ дал: Kormash
1
У 3 нажали знак відображений як &lt
Приложения:

jsjwowdjdj: в 3 символ меньше
Вас заинтересует