• Предмет: Химия
  • Автор: vgetmanskiy008
  • Вопрос задан 2 года назад

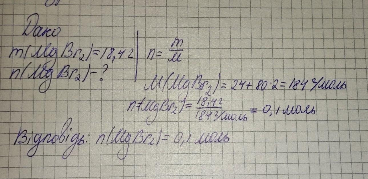
Знайти кількість речовини МgBr2, маса якої 18,4 г

Ответы

Ответ дал: belenkaydasha16
1

Ответ:

на фотографії

Объяснение:

Буду вдячна за найкращу відповідь

Приложения:

vgetmanskiy008: Спс
vgetmanskiy008: Все понятно даже луче чем в школе
Ответ дал: dyexfnf
1

Ответ:

Объяснение:

М(МgBr2) = 24 + 80 * 2 = 184 г/моль

n(МgBr2) = m(МgBr2)/М(МgBr2) = 18,4/184 = 0,1 моль

Вас заинтересует