даю 85 баллов
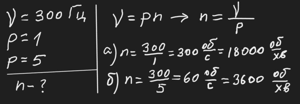
Частота змінного струму який виробляє генератор 300 гц. З якою частотою повинен обертатися ротор генератора такого струму, якщо він має а) одну пару полюсів б) 5 пар полюсів
Ответы
Ответ дал:
1
Відповідь: Див. додаток
Пояснення:
Приложения:
Вас заинтересует
1 год назад
1 год назад
2 года назад
2 года назад
3 года назад
8 лет назад
8 лет назад