• Предмет: Алгебра
  • Автор: hhgfyhcc
  • Вопрос задан 2 года назад

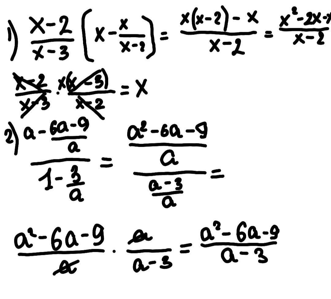
срочно нужна ваша помощь !!! всё на картинке , дам много балов

Приложения:

Ответы

Ответ дал: Dillrez
0

Ответ:

На фото

Объяснение:

Приложения:
Вас заинтересует