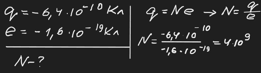
величина заряду -6,4 *10 в -10 Кл. Якій кількості електронів відповідае данний заряд. (е = -1,6 *10 в - 19 Кл)
Ответы
Ответ дал:
1
Відповідь: 4 мільярди
Пояснення:
Приложения:

Вас заинтересует
1 год назад
1 год назад
1 год назад
1 год назад
3 года назад
8 лет назад
8 лет назад