• Предмет: Геометрия
  • Автор: lerka1997strelka
  • Вопрос задан 10 лет назад

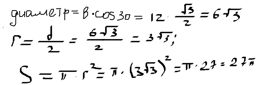
Діагональ осьового перерізу циліндра дорівнює 12 см і утворює кут 30 градусів з площею основи. Обчисліть площу основи циліндра.

Ответы

Ответ дал: Аноним
0
...................................................................
Приложения:
Вас заинтересует