• Предмет: Математика
  • Автор: ruskarandash
  • Вопрос задан 2 года назад

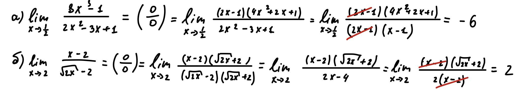
Найти пределы функции, не применяя правило Лопиталя (оба примера, интересно решение)

Приложения:

Ответы

Ответ дал: Shilkinn
1

С правилом Лопиталя было бы попроще ;) , надеюсь помог, удачи)

Приложения:
Вас заинтересует