• Предмет: Алгебра
  • Автор: Alina888880009
  • Вопрос задан 2 года назад

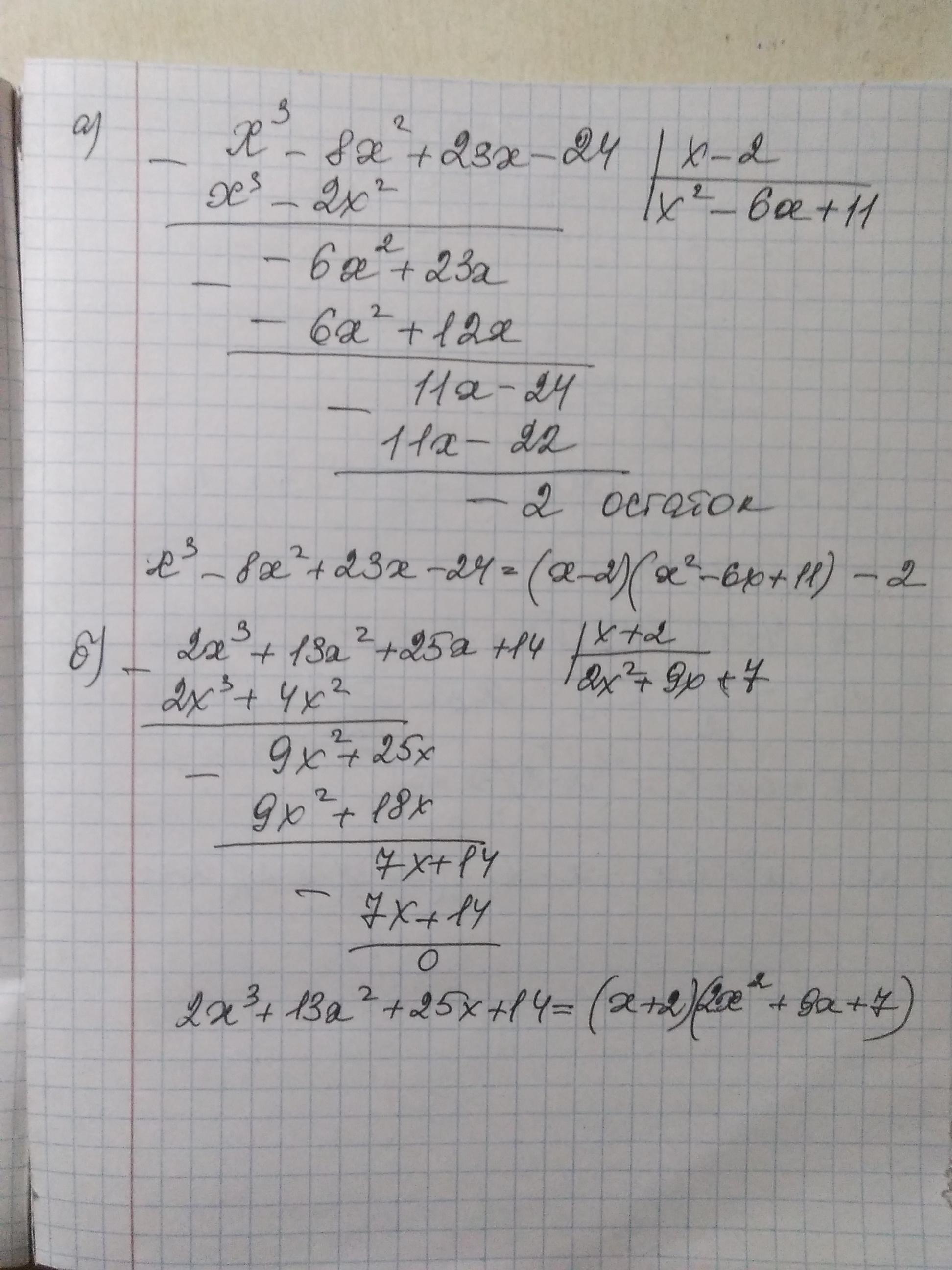
a) Разложить многочлен P(x) по степени (х-2) P(x) = x³-8x²+23x-24;
b) Разложить многочлен P(x) по степени (x+2) P(x) = 2x^3 +13x^2 + 25x +14;​

Ответы

Ответ дал: MizoriesKun
1

Смотри....................

Приложения:
Вас заинтересует