• Предмет: Алгебра
  • Автор: tolya49
  • Вопрос задан 2 года назад

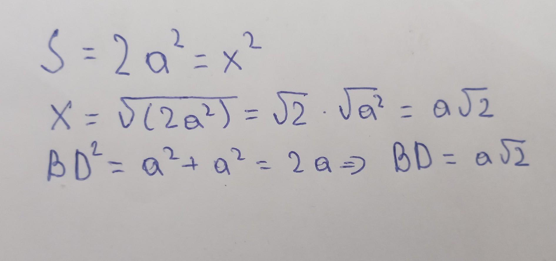
3.18. Постройте квадрат, площадь которого в два раза больше площади данного квадрата. (20 баллов)​

Ответы

Ответ дал: akmoshxr
0

Ответ:

вот)......................

Приложения:
Вас заинтересует