• Предмет: Математика
  • Автор: nataliia386
  • Вопрос задан 2 года назад

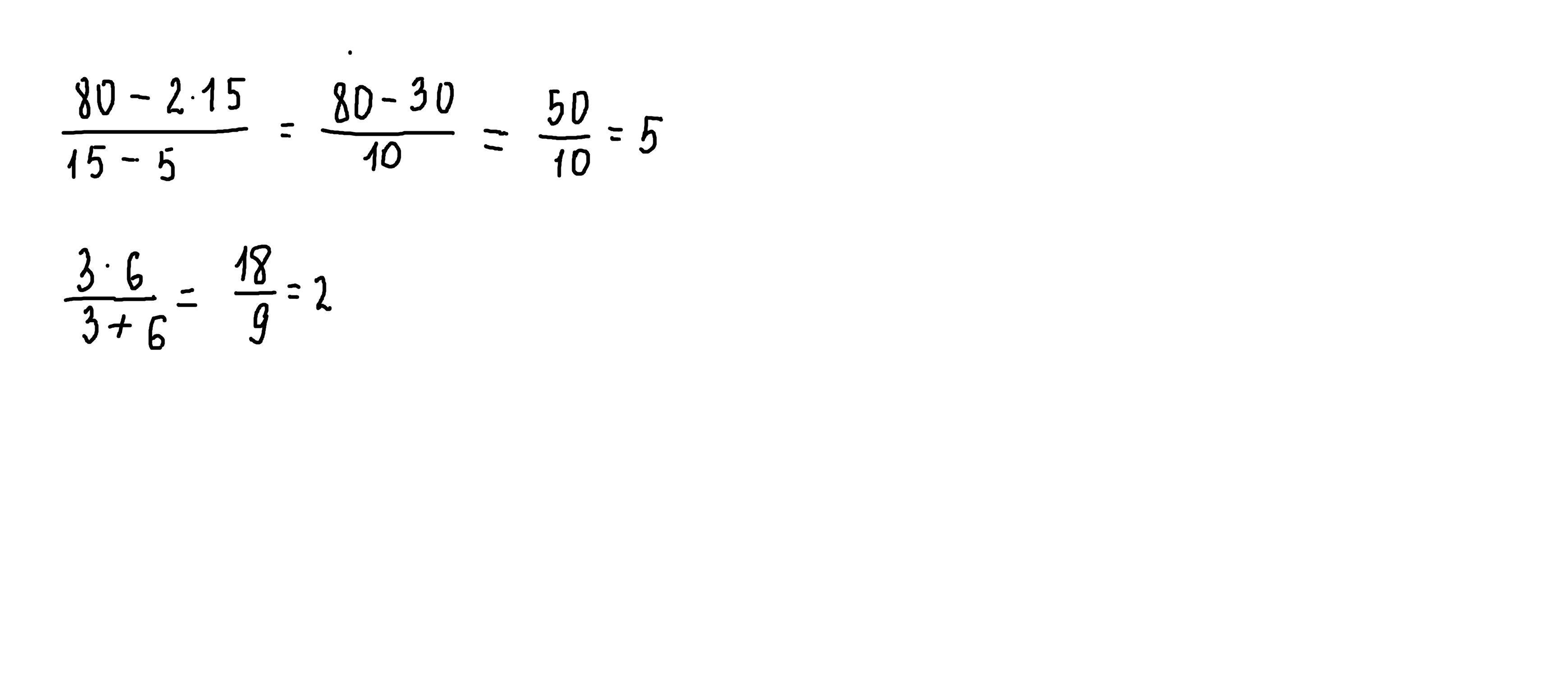
Вычислите значение выражения

Приложения:

Ответы

Ответ дал: parus77
2

Ответ:

Пошаговое объяснение:

Приложения:
Вас заинтересует