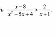
Срочно!!! Розв'язати нерівність розв'язок. x-8/x²-5x+4x> 2/х+1 У відповідь записати найменший додатний цілий.
Решить неравенство решений. x-8/x²-5x+4x> 2/х+1 В ответ записать самый маленький положительный целый.
Приложения:

Ответы
Ответ дал:
0
Ответ:
2:1 5x-4+8.
Пошаговое объяснение:
Я как панимаю
Вас заинтересует
1 год назад
1 год назад
1 год назад
1 год назад
3 года назад
3 года назад