• Предмет: Математика
  • Автор: zhanatzhanel01
  • Вопрос задан 2 года назад

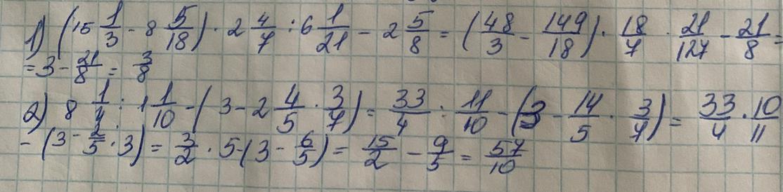
Вычислите:
1) (15 1/3-8 5/18)×2 4/7:6 1/21-2 5/8=
2) 8 1/4:1 1/10-(3-2 4/5×3/7)=


zhanatzhanel01: 1)3/8

Ответы

Ответ дал: Kormash
0
Ответ смотри на фото.
Приложения:
Вас заинтересует