• Предмет: Алгебра
  • Автор: ereny2770
  • Вопрос задан 2 года назад

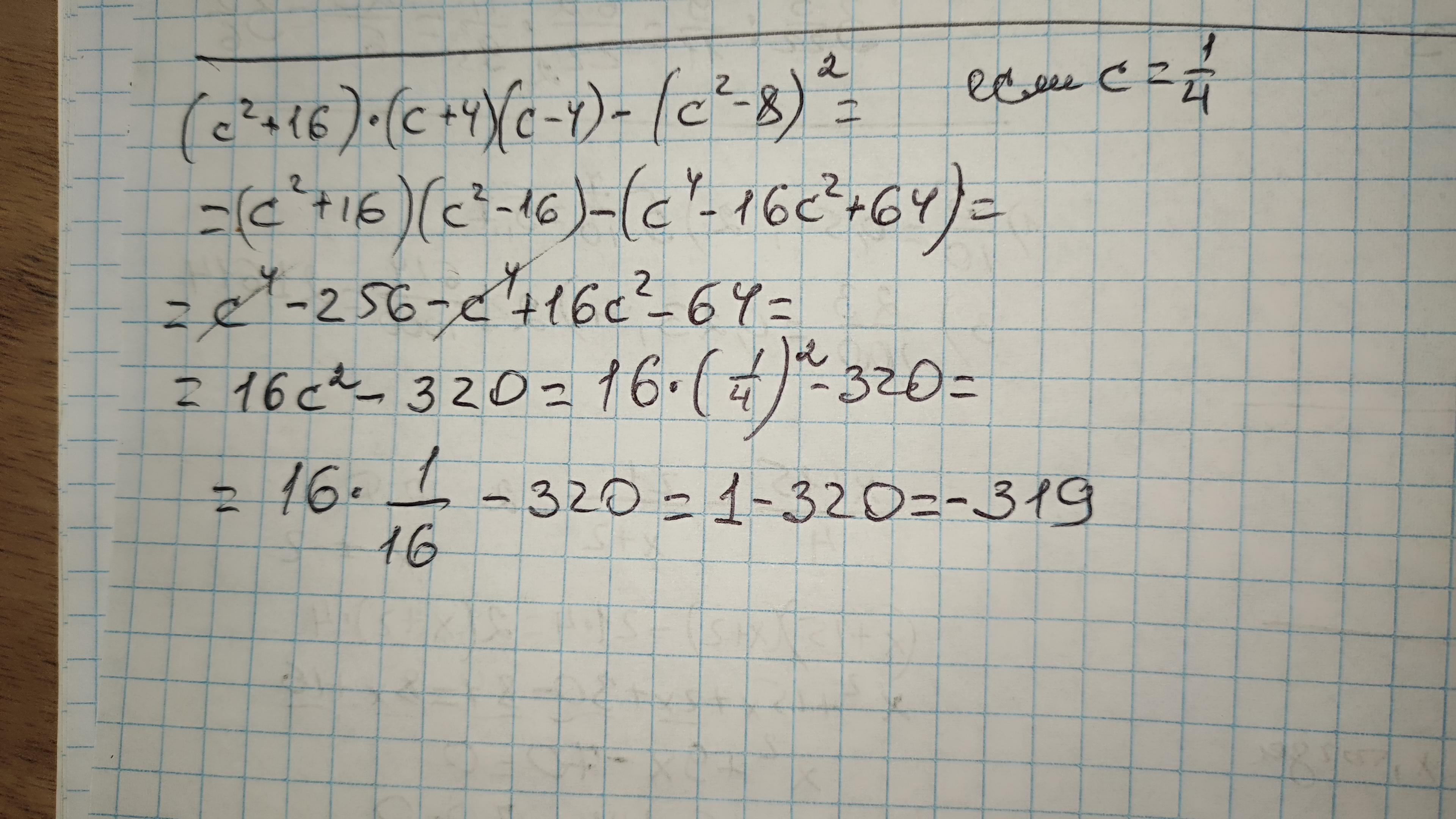
(с^2+16)*(с+4)*(с-4)-(с^2-8)^2 упростить выражение и найти значение выражения если с=1/4

Ответы

Ответ дал: tetamotatetyamotya
1

Ответ:вот

Объяснение:

Приложения:
Вас заинтересует