• Предмет: Алгебра
  • Автор: moosjdk
  • Вопрос задан 2 года назад

Помогите пожалуйста
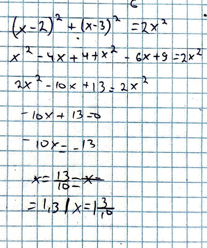
(x-2)^2+(x-3)^2=2x^2

Ответы

Ответ дал: baisultanovalikhan
1

Ответ:

........ .................

Приложения:

nurdauletutegenov201: Мал-дев?
nurdauletutegenov201: пошел ты жоп
baisultanovalikhan: ой далбаеб
nurdauletutegenov201: қотақ жеме
baisultanovalikhan: шешен амы сігем қотақбас,
nurdauletutegenov201: қазақсынба
nurdauletutegenov201: ох бела
nurdauletutegenov201: боқтама бан берет ато
nurdauletutegenov201: сосн сен шешеден кетпе
nurdauletutegenov201: сенің шешене тискен жоқпың
Вас заинтересует