• Предмет: Алгебра
  • Автор: Malev1488
  • Вопрос задан 2 года назад

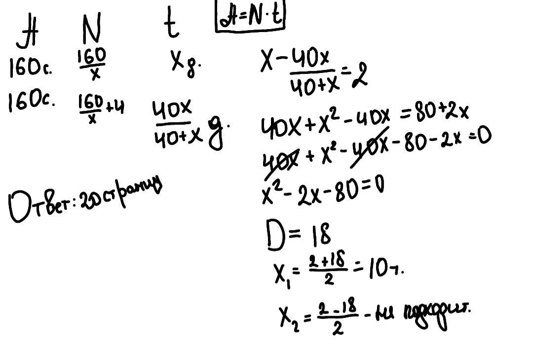
Машинистка должна была напечатать за определенное время 160 страниц. Печатая в день на 4 страницы больше, чем планировала, она завершила работу на два дня раньше срока. Сколько страниц в день печатала на самом деле машинистка?​даю 20 балов

Ответы

Ответ дал: Dillrez
0

Ответ:

На фото

Объяснение:

Приложения:
Вас заинтересует