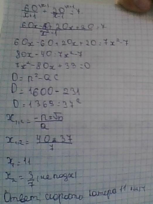
Катер проплыл 60 км по течению, затем 20 км против течения и потратил 7 часов на всю дорогу. Если скорость потока составляет 1 км / ч, то какова удельная скорость катера
пожалиуста срочно
Ответы
Ответ дал:
1
Ответ:
Объяснение:
пжлучший ответ
Приложения:

Вас заинтересует
1 год назад
1 год назад
3 года назад
3 года назад
8 лет назад