• Предмет: Физика
  • Автор: evgeniamasinskaa07
  • Вопрос задан 2 года назад

допоможіть будь ласка
даю бали, подяку, найкращу відповідь ​

Приложения:

Ответы

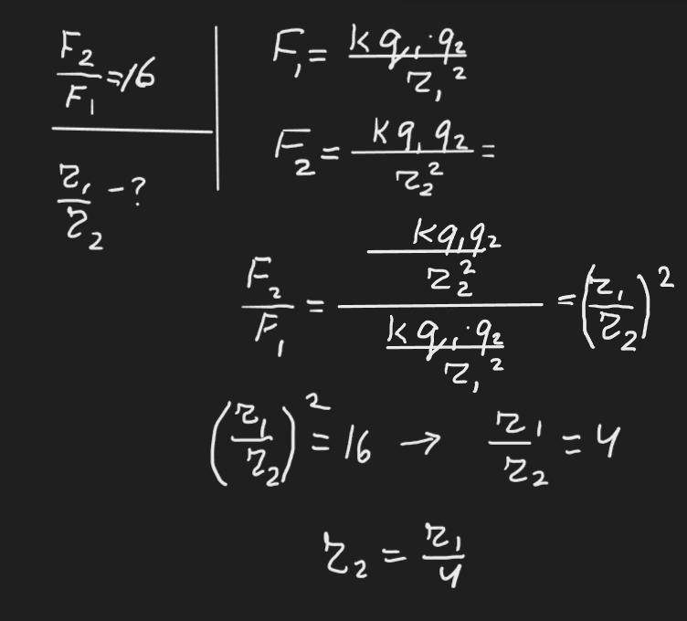
Ответ дал: zybkov1950
1

Відповідь: зменшилася у 4 рази

Пояснення:

Приложения:

evgeniamasinskaa07: оооо дякую ще раз!!!!!
Вас заинтересует