• Предмет: Алгебра
  • Автор: jdhdidbdhudbd
  • Вопрос задан 2 года назад

ПРОШУ ВАС ПОЖАЛУЙСТА ПОМОГИТЕ

Приложения:

Ответы

Ответ дал: kiml1ye00n
1

Ответ:

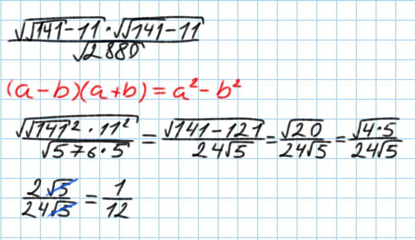
1/12....

Объяснение:

Приложения:
Вас заинтересует