• Предмет: Математика
  • Автор: oggkamilla
  • Вопрос задан 2 года назад

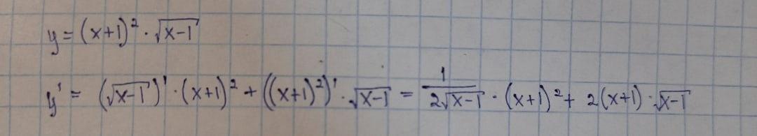
знайдіть похідні функції y=(x+1)^2 √(x-1)


ISpaceI: y=(x+1)^2 * √(x-1)?

Ответы

Ответ дал: ISpaceI
1

Ответ:

Прикрепляю фото

Приложения:
Вас заинтересует