Ответы
Ответ дал:
2
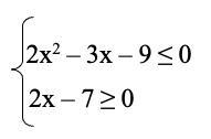
Відповідь: фото
Пояснення:
розв'язання завдання додаю
Приложения:

Аноним:
здравствуйте вы не могли бы мне помочь с алгеброй пожалуйста умоляюю
Вас заинтересует
1 год назад
1 год назад
1 год назад
1 год назад
3 года назад
8 лет назад
8 лет назад