• Предмет: Алгебра
  • Автор: yuliasidorenko2826
  • Вопрос задан 2 года назад

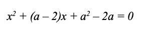
Знайти всі значення параметра а, при яких рівняння має два різних кореня.

Приложения:

Ответы

Ответ дал: Dillrez
1

Ответ:

На фото

Объяснение:

Приложения:
Ответ дал: aarr04594
1

Відповідь: фото

Пояснення: розв'язання завдання додаю

Приложения:

Аноним: Здравствуйте. вы не могли бы мне помочь Завтра с алгеброй пожалуйста умоляюю
Вас заинтересует