Помогитеее срочноооо.
Выразить с помощью химических уравнений реакции по схеме, какая из них отражает промышленное получение азотной кислоты:
Приложения:

Ответы
Ответ дал:
1
Ответ:
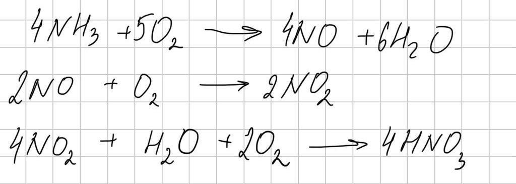
на картинке
Объяснение:
Не очень понятен вопрос, все реакции отражают этапы промышленного получения азотной кислоты. 1) контактное окисление аммиака в присутствии катализатора
2) окисление оксида азота (II) до оксида азота (IV)
3) адсорбция оксида азота (IV) водой в избытке кислорода
Приложения:

Вас заинтересует
1 год назад
1 год назад
1 год назад
1 год назад
3 года назад
3 года назад