• Предмет: Физика
  • Автор: leonidmordusenko6
  • Вопрос задан 2 года назад

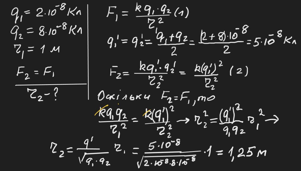
Допоможіть розв‘язати задачу будь ласка даю 50 балів! До 13:00 годин! ТРЕБА ТІЛЬКИ НОМЕР 292!

Приложения:

Ответы

Ответ дал: zybkov1950
2

Відповідь: 1,25 м

Пояснення:

Приложения:

vlattess: помогите пожалуйста с физикой
Вас заинтересует