Определите, какая линия задается
уравнением. Найдите ее
геометрические характеристики.
Постройте линию.
                        
                                    Приложения:
                    
                            Ответы
                                            Ответ дал: 
                                                                                    
                                        
                                            
                                                
                                                
                                                
                                                    0
                                                
                                            
                                        
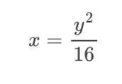
                                    Відповідь: парабола
Покрокове пояснення:  - (
) парабола с вершиной в начале системы координат, ветви направлены вправо. Уравнение директрисы х=-р/2=-4, фокус имеет координаты F(4;0).
Вас заинтересует
                
                        1 год назад
                    
                
                        1 год назад
                    
                
                        1 год назад
                    
                
                        3 года назад
                    
                
                        8 лет назад