Ответы
Ответ дал:
1
Ответ:
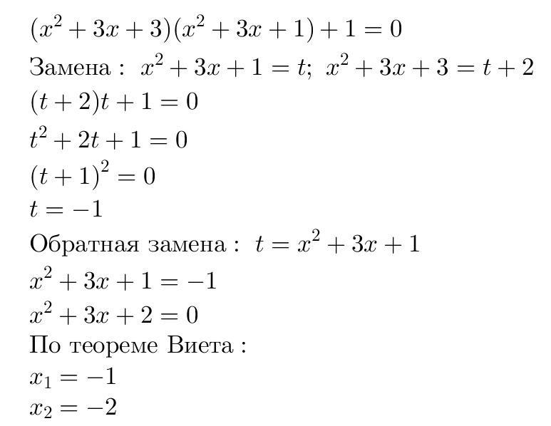
-2; -1
Объяснение:
Приложения:

Ответ дал:
0
Ответ:
читай на листе пояснения, если что-то непонятно, могу объяснить, но да, не самое простое уравнение
Приложения:

Вас заинтересует
1 год назад
1 год назад
1 год назад
3 года назад
3 года назад
8 лет назад
https://znanija.com/task/51580140?utm_source=android&utm_medium=share&utm_campaign=question