• Предмет: Математика
  • Автор: ukrainenow123
  • Вопрос задан 2 года назад

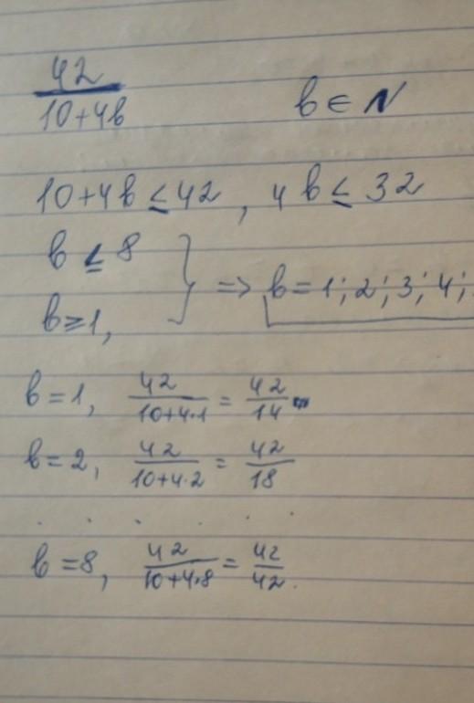
Знайдіть усі натуральні значення 6, при яких 42 10+4b дріб буде неправильним.

Ответы

Ответ дал: Alexandr130398
3

Ответ:

1;2;3;4;5;6;7;8

Пошаговое объяснение:

Дробь называется неправильной, если ее числитель больше либо равен знаменателю

42/(10+4b)

42≥10+4b

32≥4b

8≥b

b≤8

Натуральные из них

1;2;3;4;5;6;7;8

Ответ дал: galinaafanaseva123
1

Ответ:

b не тільки 1 , 2 ,3 ,4 а й 5 6 7 8 запиши

Приложения:
Вас заинтересует