• Предмет: Математика
  • Автор: maryiily
  • Вопрос задан 2 года назад

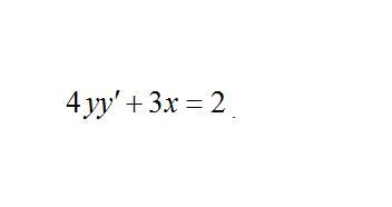
Прошу помогите. Найти общее решение дифференциального уравнения

Приложения:

Ответы

Ответ дал: mathkot
1

Ответ:

Решение дифференциального уравнения:

\boldsymbol{\boxed{2y^{2} + 1,5x^{2} - 2x = C}}

Примечание:

По таблице интегралов:

\boxed{\displaystyle \int x^{n} \ dx = \frac{x^{n + 1}}{n + 1} + C; n \neq -1, x > 0}

По свойствам интегралов:

\boxed{ \displaystyle \int \sum\limits_{i=1}^n {C_{i}f_{i}(x)} \, dx = \sum\limits_{i=1}^nC_{i} \int {f_{i}(x)} \, dx}

Пошаговое объяснение:

4yy'+3x = 2

4y \cdot \dfrac{dy}{dx}  = 2 - 3x  \bigg | \cdot dx

4y \, dy = (2 - 3x) \, dx

\displaystyle \int 4y \, dy = \int (2 - 3x) \, dx

4 \cdot \dfrac{y^{2}}{2} = 2x - 3 \cdot \dfrac{x^{2} }{2} + C

\boxed{2y^{2} + 1,5x^{2} - 2x = C} - общий интеграл дифференциального уравнения


maryiily: Спасибо!
Вас заинтересует