Ответы
                                            Ответ дал: 
                                                                                    
                                        
                                            
                                                
                                                
                                                
                                                    0
                                                
                                            
                                        
                                    Ответ:
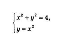
Решения системы:
Пошаговое объяснение:
 не является корнем систему уравнений, так как 
, то 
.
Решения системы:
                    gthtvjufpfyfvb6:
                    https://znanija.com/task/51592646
                
            Вас заинтересует
                
                        1 год назад
                    
                
                        3 года назад
                    
                
                        3 года назад
                    
                
                        8 лет назад