Ответы
Ответ дал:
1
Відповідь: відповідь у поясненні
Пояснення:
Приложения:

Ответ дал:
1
Объяснение:
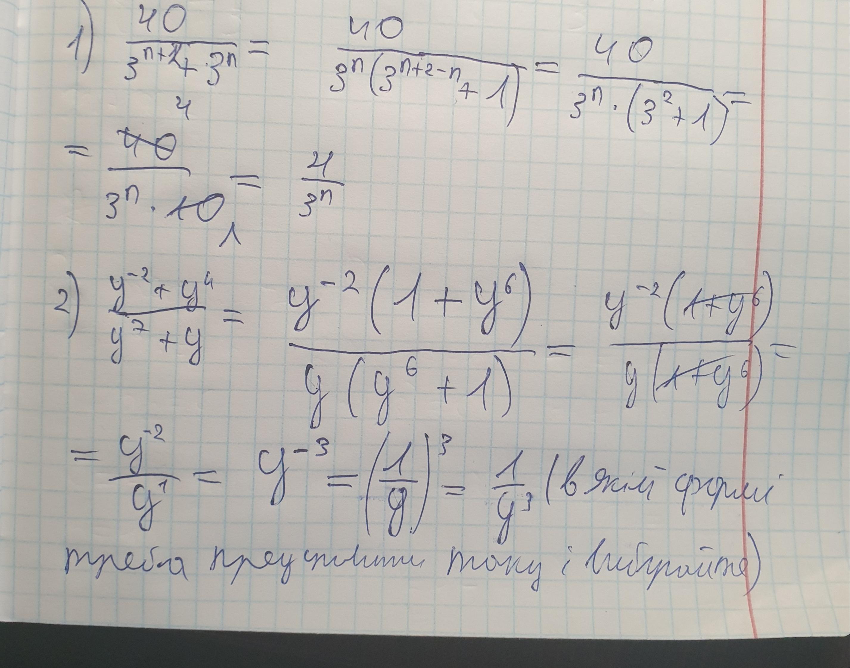
1)
^ - степень
40 / 3^(n+2)+3^n=40 / 3^n×3^2+3^n=
=40 / 3^n(3^2+1)=40 / 3^n×10=4 / 3^n
2)
(у`²+y⁴) / (y⁷+y)= y`²(1+y⁶) / y(y⁶+1)=
=y`² / y= y`³
Вас заинтересует
1 год назад
1 год назад
1 год назад
3 года назад
3 года назад
8 лет назад