• Предмет: Алгебра
  • Автор: sarikbarboskin5
  • Вопрос задан 2 года назад

Помогите очень срочно даю 50 балом поалуста помогите кому не сложно

Приложения:

Ответы

Ответ дал: ameliya2508
0

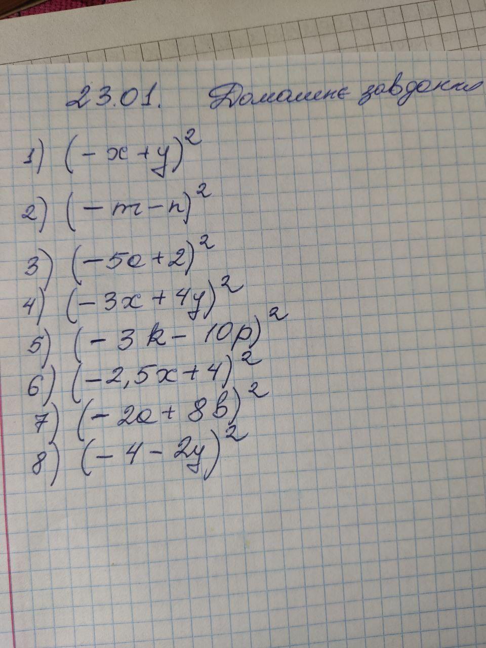
Ответ:

1)y^2-2xy+x^2

2)m^2+2mn+n^2

3)25a^2-20a+4

4)16y^2-24xy+9x^2

5)9k^2+60kp+100p^2

6)16-20x+6,25x^2

7)64b^2-32ab+4a^2

8)4y^2+16y+16

Вас заинтересует