Ответы
Ответ дал:
1
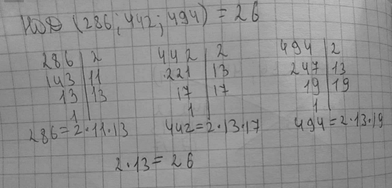
Ответ:
26
Пошаговое объяснение:
решение на
Приложения:

Вас заинтересует
1 год назад
1 год назад
1 год назад
3 года назад
3 года назад
8 лет назад