Ответы
Ответ дал:
0
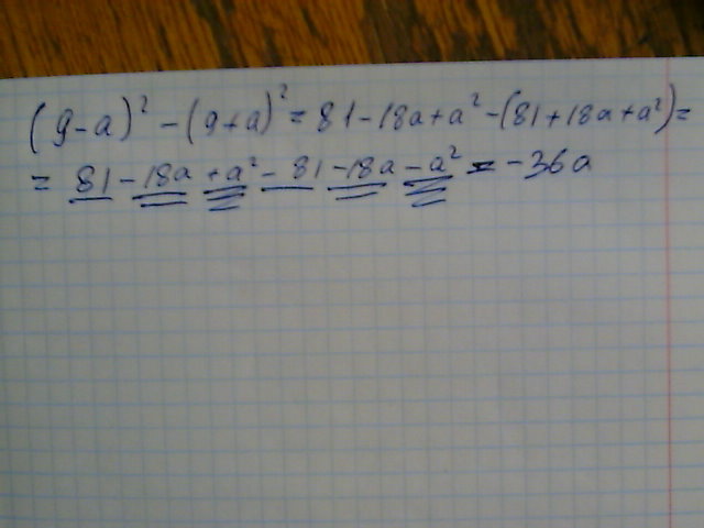
полное решение на фото: квадрат суммы и квадрат разности использованы для раскрытия скобок, дальше подобные
Приложения:

Ответ дал:
0
(9-а)^2-(9+а)^2=(9-a-9-a)(9-a+9+a)=-2a*18=-36a
Приложения:

Вас заинтересует
2 года назад
2 года назад
8 лет назад
10 лет назад
10 лет назад
10 лет назад