• Предмет: Математика
  • Автор: bb24
  • Вопрос задан 2 года назад

Знайдіть первісну функції, графік якої проходить через точку А

Приложения:

Ответы

Ответ дал: natalyabryukhova
2

Ответ:

а)   \displaystyle     \bf   F(x)=-3\cdot (-cosx)=3cosx+7

б)   \displaystyle     \bf   F(x)=\frac{1}{3}\;e^{3x}+\frac{2}{3}

Пошаговое объяснение:

Найдите первообразную функции, график которой проходит через точку А.

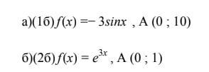
а)  \displaystyle        f(x)=-3sinx,\;\;\;\;\;A(0;\;10)

б)  \displaystyle        f(x)=e^{3x},\;\;\;\;\;A(0; 1)

a) \displaystyle        f(x)=-3sinx\;\;\;\;\;\\

Формула:

\boxed  {\displaystyle        \bf  f(x)=sinx\;\;\;\longrightarrow     \;\;\;F(x)=-cosx+C}

\displaystyle        F(x)=-3\cdot (-cosx)=3cosx+C

Найдем С, подставим координаты точки А(0; 10):

\displaystyle        10=3cos\;0^0+C\\\\10=3\cdot1+C\\\\C=7

⇒ первообразная будет иметь вид:

\displaystyle     \bf   F(x)=-3\cdot (-cosx)=3cosx+7

б)  \displaystyle        f(x)=e^{3x},\;\;\;\;\;A(0; 1)

Формула:

\boxed  {\displaystyle        \bf  f(x)=e^{kx-b}\;\;\;\longrightarrow     \;\;\;F(x)=\frac{1}{k}\;e^{kx-b} +C}

\displaystyle        F(x)=\frac{1}{3}\;e^{3x} +C

Найдем С, подставим координаты точки А(0; 1):

\displaystyle        1=\frac{e^{3\cdot 0}}{3} +C\\\\1=\frac{1}{3} +C\\\\C=\frac{2}{3}

⇒ первообразная будет иметь вид:

\displaystyle     \bf   F(x)=\frac{1}{3}\;e^{3x}+\frac{2}{3}

#SPJ1


dana1235414: Здравствуйте natalyabryukhova, а можете пожалуйста помочь с математикой прошу?
dana1235414: Если вам не трудно!
dana1235414: Буду очень благодарна вам!!!
bb24: Дуже вам дякую, якщо буде не важко змогли б ви зробити ще 1 завдання у мене в профілі
Вас заинтересует