• Предмет: Математика
  • Автор: Arinamedevidova
  • Вопрос задан 2 года назад

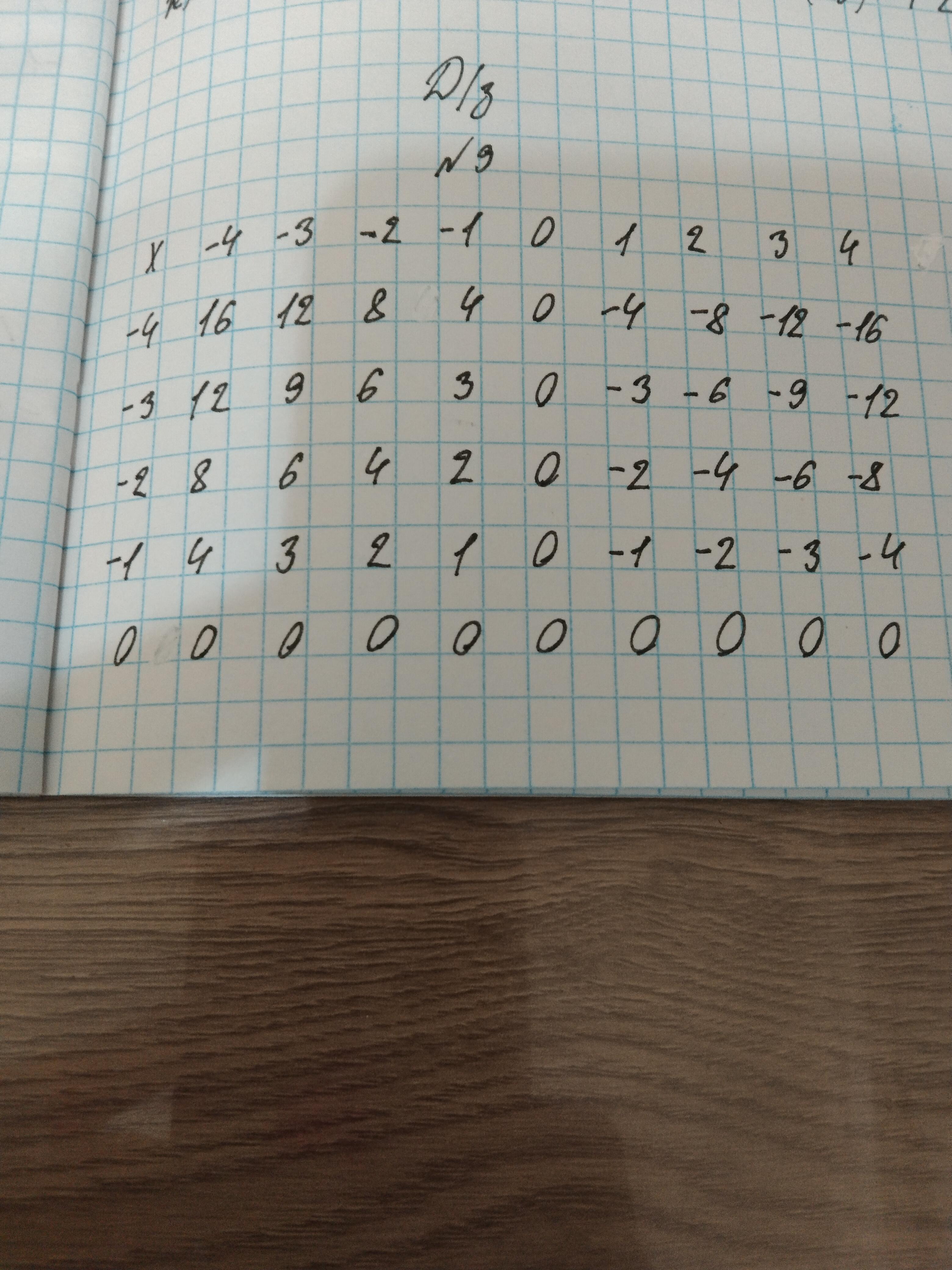
9. Заполните пустые клетки и запишите свой вывод. х-4 -3 -2 -1 01 2 -4 -3 -2 -1 0 1 2 3 4 0 0 0 0 0 0 0 0 0 0 0 0 0 00 3 4 0 0​

Ответы

Ответ дал: n45700722
4

Ответ:

Пошаговое объяснение:

Приложения:
Вас заинтересует