Ответы
Ответ дал:
0
Ответ:
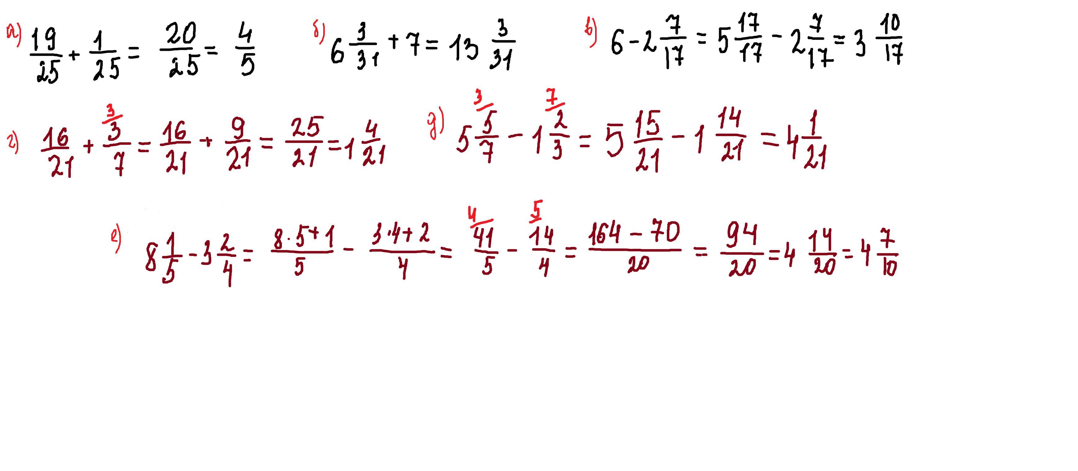
Пошаговое объяснение:чтобы сложить дроби надо сложить их числители,а знаменатель оставить прежним. а в примерах г,д е приводим к новому общему знаменателю.
решение внизу
Приложения:

Вас заинтересует
1 год назад
1 год назад
1 год назад
1 год назад
3 года назад
8 лет назад