• Предмет: Алгебра
  • Автор: ursolnr1
  • Вопрос задан 2 года назад

помогите срочно дам 20 балов


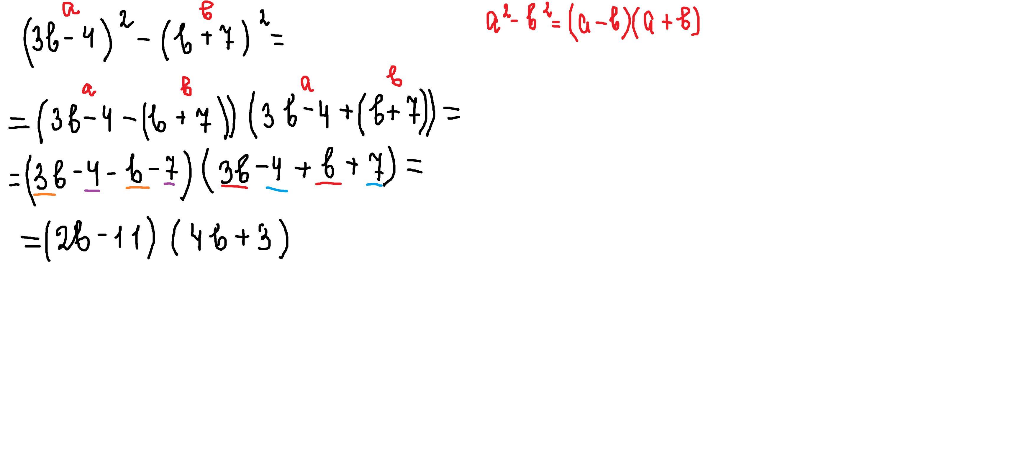
Подайте у вигляді добутку вираз:

(3в – 4)2 – (в + 7)2.


parus77: нельзя задавать вопросы из КР.Их удаляют модераторы вместе с ответами.
ursolnr1: я не пишу никакую кр
ursolnr1: просто задание надо решить
ursolnr1: так поможешь?
ursolnr1: пожалуйста
ursolnr1: пожалуйста помоги

Ответы

Ответ дал: parus77
3

Ответ:

Объяснение:

решение внизу,формула там же

Приложения:

avocadik0adupadik: спасибо
Вас заинтересует